rotate3d()
rotate3d() CSS 函数定义一个变换,它将元素围绕固定轴移动而不使其变形。运动量由指定的角度定义; 如果为正,运动将为顺时针,如果为负,则为逆时针。
尝试一下
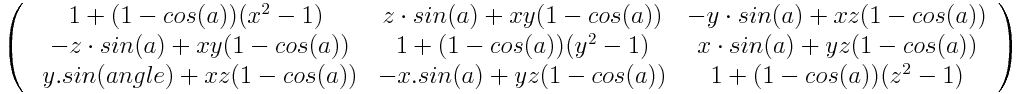
在 3D 空间之中,旋转有 3 个自由维度,描述了旋转轴。旋转轴由一组 [x, y, z] 矢量定义,并且通过变换源点传递(即通过 transform-origin CSS 属性定义)。如果这些矢量被赋予非标准值,即 3 个坐标值的平方和不等于 1 时,它将会被内部隐式标准化。非标准矢量,例如空值和 [0, 0, 0],将会使旋转不起作用,但是不影响整个 CSS 属性的其他效果(译者注:如 transform 中的多项变换)。
备注: 与平面旋转相反的是,3D 旋转的组合通常是不可交换的;这意味着定义旋转规则的值的顺序是严格控制的。
语法
rotate3d(x, y, z, a)
值
示例
绕 Y 轴旋转
HTML
html
<div>Normal</div>
<div class="rotated">Rotated</div>
CSS
css
body {
perspective: 800px;
}
div {
width: 80px;
height: 80px;
background-color: skyblue;
}
.rotated {
transform: rotate3d(0, 1, 0, 60deg);
background-color: pink;
}
效果
围绕自定义轴旋转
HTML
html
<div>Normal</div>
<div class="rotated">Rotated</div>
CSS
css
body {
perspective: 800px;
}
div {
width: 80px;
height: 80px;
background-color: skyblue;
}
.rotated {
transform: rotate3d(1, 2, -1, 192deg);
background-color: pink;
}
效果
规范
| Specification |
|---|
| CSS Transforms Module Level 2 # funcdef-rotate3d |
浏览器兼容性
BCD tables only load in the browser

